Home Browse Text SearchFunctional Group SearchStructure SearchPreferences Administration

selected data collection: 1

IRIS SDF: browse content


1
  <<    <    >    >>  

1:200135 C6H13NO2
hit structure
1:200136 C7H15NO2
hit structure
1:200137 C8H17NO2
hit structure
1:200138 C9H19NO2
hit structure
1:200139 C7H15NO2
hit structure
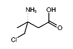
1:200140 C5H10ClNO2
hit structure
1:200141 C6H11NO2
hit structure
1:200142 C9H17NO2
hit structure
1:200143 C10H19NO2
hit structure
1:200144 C7H15NO2
hit structure
1:200145 C7H13NO2
hit structure
1:200146 C7H13NO3
hit structure
1:200147 C5H9NO2
hit structure
1:200148 C6H11NO2
hit structure
1:200149 C9H11NO2
hit structure
1:200150 C9H11NO2
hit structure
1:200151 C14H21N7O4
hit structure
1:200152 C26H28N4O2
hit structure
1:200153 C14H14N2O5
hit structure
1:200154 C10H16N4O4
hit structure
1:200155 C14H18N4O4
hit structure
1:200156 C9H14N4O4
hit structure
1:200157 C7H9NO3
hit structure
1:200158 C9H18N2O4
hit structure
1:200159 C9H14D4N2O4
hit structure

1
  <<    <    >    >>  

entries in data collection: 337914