Home Browse Text SearchFunctional Group SearchStructure SearchPreferences Administration

selected data collection: 1

IRIS SDF: browse content


1
  <<    <    >    >>  

1:198190 C14H29N3O4
hit structure
1:198191 C16H33N3O4
hit structure
1:198192 C16H33N3O4
hit structure
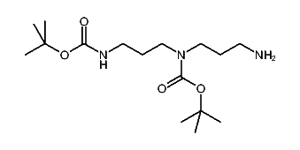
1:198193 C17H35N3O4
hit structure
1:198194 C17H35N3O4
hit structure
1:198195 C10H22N4O3
hit structure
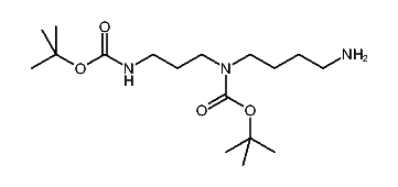
1:198196 C24H50N4O4
hit structure
1:198197 C9H20N2O2S2
hit structure
1:198198 C13H28N2O2
hit structure
1:198199 C14H30N2O2
hit structure
1:198200 C15H32N2O2
hit structure
1:198201 C16H34N2O2
hit structure
1:198202 C17H36N2O2
hit structure
1:198203 C14H27N3O4
hit structure
1:198204 C9H19N3O2
hit structure
1:198205 C9H18N2O3
hit structure
1:198206 C23H47N5O6
hit structure
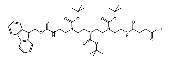
1:198207 C42H61N5O11
hit structure
1:198208 C13H22N2O4S2
hit structure
1:198209 C9H21N3O2
hit structure
1:198210 C16H33N3O4
hit structure
1:198211 C9H21N3O2
hit structure
1:198212 C14H28N2O4S2
hit structure
1:198213 C6H10N4O3
hit structure
1:198214 C11H20N2O5
hit structure

1
  <<    <    >    >>  

entries in data collection: 312754