Home Browse Text SearchFunctional Group SearchStructure SearchPreferences Administration

selected data collection: 1

IRIS SDF: browse content


1
  <<    <    >    >>  

1:197190 C49H57N7O13
hit structure
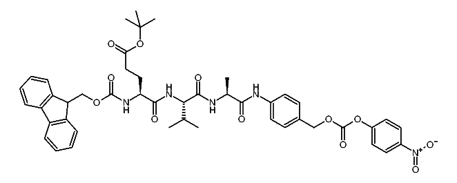
1:197191 C39H48N4O8
hit structure
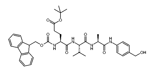
1:197192 C46H51N5O12
hit structure
1:197193 C12H14N2O
hit structure
1:197194 C9H18N2O2
hit structure
1:197195 C15H14N2O2
hit structure
1:197196 C11H26N2O4
hit structure
1:197197 C14H24N2O4
hit structure
1:197198 C11H26N2O4
hit structure
1:197199 C8H15NO4S
hit structure
1:197200 C27H29NO4S
hit structure
1:197201 C13H22N2O6
hit structure
1:197202 C24H28N2O6
hit structure
1:197203 C9H18N2O4
hit structure
1:197204 C23H26N2O6
hit structure
1:197205 C23H26N2O6
hit structure
1:197206 C10H18N2O5
hit structure
1:197207 C13H21NO6
hit structure
1:197208 C17H23NO6
hit structure
1:197209 C15H32N2O5
hit structure
1:197210 C13H26N2O2
hit structure
1:197211 C9H20N2O2
hit structure
1:197212 C10H22N2O2
hit structure
1:197213 C13H26N2O2
hit structure
1:197214 C8H18N2O2
hit structure

1
  <<    <    >    >>  

entries in data collection: 292626