Home Browse Text SearchFunctional Group SearchStructure SearchPreferences Administration

selected data collection: 1

IRIS SDF: browse content


1
  <<    <    >    >>  

1:195490 C18H27N3O3
hit structure
1:195491 C15H28N4O2S
hit structure
1:195492 C14H18N3NaO8S2
hit structure
1:195493 C13H24N4O2S
hit structure
1:195494 C17H11NO3
hit structure
1:195495 C9H15O6P
hit structure
1:195496 C24H36N4O6S
hit structure
1:195497 C18H25N3O3S
hit structure
1:195498 C16H28N4O4S
hit structure
1:195499 C46H50N10O9
hit structure
1:195500 C55H65N7O12
hit structure
1:195501 C51H53N7O16
hit structure
1:195502 C48H63N13O10
hit structure
1:195503 C23H34N4O4S3
hit structure
1:195504 C14H20N4O4
hit structure
1:195505 C16H15N5
hit structure
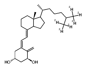
1:195506 C27H38D6O2
hit structure
1:195507 C27H40D6O2
hit structure
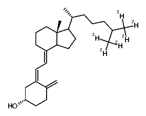
1:195508 C27H38D6O
hit structure
1:195509 C27H38D6O2
hit structure
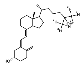
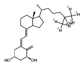
1:195510 C27H38D6O3
hit structure
1:195511 C27H41D3O
hit structure
1:195512 C27H38D6O
hit structure
1:195513 C27H40D6O
hit structure
1:195514 C28H38D6O2
hit structure

1
  <<    <    >    >>  

entries in data collection: 202050