Home Browse Text SearchFunctional Group SearchStructure SearchPreferences Administration

selected data collection: 1

IRIS SDF: browse content


1
  <<    <    >    >>  

1:195090 C16H22N2O4
hit structure
1:195091 C18H34N2O4
hit structure
1:195092 C18H30N2O4
hit structure
1:195093 C8H15NO2
hit structure
1:195094 C7H13NO2
hit structure
1:195095 C12H18N2O4
hit structure
1:195096 C14H26N2O4
hit structure
1:195097 C16H30N2O4
hit structure
1:195098 C7H13NO2
hit structure
1:195099 C16H30N2O4
hit structure
1:195100 C14H22N2O4
hit structure
1:195101 C14H22N2O4
hit structure
1:195102 C18H30N2O4
hit structure
1:195103 C6H13NO2
hit structure
1:195104 C7H15NO2
hit structure
1:195105 C8H17NO2
hit structure
1:195106 C9H19NO2
hit structure
1:195107 C7H15NO2
hit structure
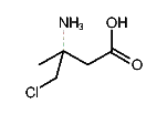
1:195108 C5H10ClNO2
hit structure
1:195109 C6H11NO2
hit structure
1:195110 C9H17NO2
hit structure
1:195111 C10H19NO2
hit structure
1:195112 C7H15NO2
hit structure
1:195113 C7H13NO2
hit structure
1:195114 C7H13NO3
hit structure

1
  <<    <    >    >>  

entries in data collection: 197018