Home Browse Text SearchFunctional Group SearchStructure SearchPreferences Administration

selected data collection: 1

IRIS SDF: browse content


1
  <<    <    >    >>  

1:194615 C27H24N4O6
hit structure
1:194616 C24H18N2O6
hit structure
1:194617 C24H19NO4
hit structure
1:194618 C25H28N2O4S
hit structure
1:194619 C40H37NO4S
hit structure
1:194620 C41H39NO4S
hit structure
1:194621 C24H28N2O6
hit structure
1:194622 C25H30N2O6
hit structure
1:194623 C21H23NO4S
hit structure
1:194624 C26H31NO6
hit structure
1:194625 C27H37NO5Si
hit structure
1:194626 C37H45N7O7S
hit structure
1:194627 C24H28N2O5
hit structure
1:194628 C22H24N4O4
hit structure
1:194629 C35H44N2O6
hit structure
1:194630 C25H28N2O5
hit structure
1:194631 C28H28N2O8S
hit structure
1:194632 C29H27N5O3S
hit structure
1:194633 C26H19N3O4S2
hit structure
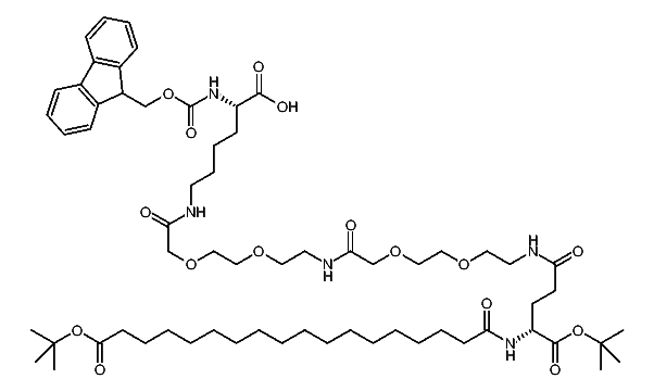
1:194634 C64H101N5O16
hit structure
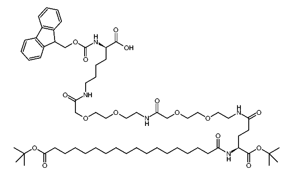
1:194635 C64H101N5O16
hit structure
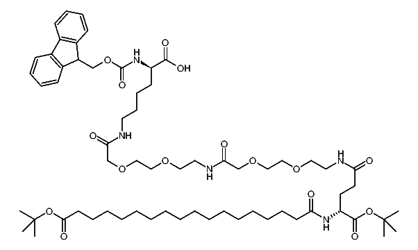
1:194636 C64H101N5O16
hit structure
1:194637 C22H21NO4S
hit structure
1:194638 C25H28N2O6
hit structure
1:194639 C24H24N2O6
hit structure

1
  <<    <    >    >>  

entries in data collection: 197018