Home Browse Text SearchFunctional Group SearchStructure SearchPreferences Administration

selected data collection: 1

IRIS SDF: browse content


1
  <<    <    >    >>  

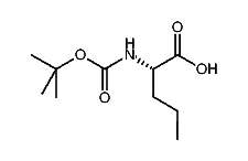
1:192507 C10H19NO4
hit structure
1:192508 C18H25ClN2O6
hit structure
1:192509 C14H18ClNO4
hit structure
1:192510 C14H18FNO4
hit structure
1:192511 C14H17Cl2NO4
hit structure
1:192512 C14H17F2NO4
hit structure
1:192513 C14H18ClNO4
hit structure
1:192514 C14H18INO4
hit structure
1:192515 C14H18BrNO4
hit structure
1:192516 C14H18ClNO4
hit structure
1:192517 C15H21NO4
hit structure
1:192518 C14H20N2O4
hit structure
1:192519 C29H30N2O6
hit structure
1:192520 C22H26N2O6
hit structure
1:192521 C14H18N2O6
hit structure
1:192522 C14H14F5NO4
hit structure
1:192523 C10H15NO4
hit structure
1:192524 C12H23NO5
hit structure
1:192525 C13H25NO5
hit structure
1:192526 C21H23Cl2NO5
hit structure
1:192527 C14H17I2NO5
hit structure
1:192528 C19H27NO7
hit structure
1:192529 C18H27NO5
hit structure
1:192530 C14H18INO5
hit structure
1:192531 C9H17NO4
hit structure

1
  <<    <    >    >>  

entries in data collection: 207082