Home Browse Text SearchFunctional Group SearchStructure SearchPreferences Administration

selected data collection: 1

IRIS SDF: browse content


1
  <<    <    >    >>  

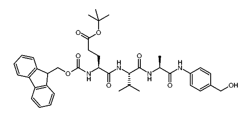
1:192157 C42H54N6O9
hit structure
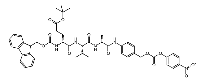
1:192158 C49H57N7O13
hit structure
1:192159 C39H48N4O8
hit structure
1:192160 C46H51N5O12
hit structure
1:192161 C12H14N2O
hit structure
1:192162 C9H18N2O2
hit structure
1:192163 C15H14N2O2
hit structure
1:192164 C11H26N2O4
hit structure
1:192165 C14H24N2O4
hit structure
1:192166 C11H26N2O4
hit structure
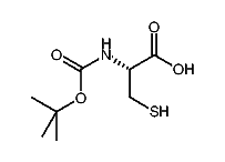
1:192167 C8H15NO4S
hit structure
1:192168 C27H29NO4S
hit structure
1:192169 C13H22N2O6
hit structure
1:192170 C24H28N2O6
hit structure
1:192171 C9H18N2O4
hit structure
1:192172 C23H26N2O6
hit structure
1:192173 C23H26N2O6
hit structure
1:192174 C10H18N2O5
hit structure
1:192175 C13H21NO6
hit structure
1:192176 C17H23NO6
hit structure
1:192177 C15H32N2O5
hit structure
1:192178 C13H26N2O2
hit structure
1:192179 C9H20N2O2
hit structure
1:192180 C10H22N2O2
hit structure
1:192181 C13H26N2O2
hit structure

1
  <<    <    >    >>  

entries in data collection: 237274