Home Browse Text SearchFunctional Group SearchStructure SearchPreferences Administration

selected data collection: 1

IRIS SDF: browse content


1
  <<    <    >    >>  

1:191387 C24H37N5O3S3
hit structure
1:191388 C20H29N5O5S
hit structure
1:191389 C23H33N5O7S
hit structure
1:191390 C22H34N4O5S
hit structure
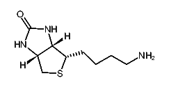
1:191391 C9H17N3OS
hit structure
1:191392 C20H17Cl
hit structure
1:191393 C6H7ClIN
hit structure
1:191394 C8H9NO2
hit structure
1:191395 C22H20O2S
hit structure
1:191396 C16H15F5N2O3S
hit structure
1:191397 C17H24N6O5
hit structure
1:191398 C18H23N3O5
hit structure
1:191399 C27H40N6O7S
hit structure
1:191400 C36H39N5O7
hit structure
1:191401 C15H27N5O3S2
hit structure
1:191402 C9H6N4O3
hit structure
1:191403 C13H16N4O4
hit structure
1:191404 C6H7NO5
hit structure
1:191405 C10H11NO2S
hit structure
1:191406 C8H9NO2
hit structure
1:191407 C10H15NO4
hit structure
1:191408 C14H18N2O6
hit structure
1:191409 C12H19NO6
hit structure
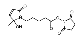
1:191410 C16H22N2O8
hit structure
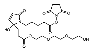
1:191411 C22H32N2O11
hit structure

1
  <<    <    >    >>  

entries in data collection: 191986