Home Browse Text SearchFunctional Group SearchStructure SearchPreferences Administration

selected data collection: 1

IRIS SDF: browse content


1
  <<    <    >    >>  

1:190062 C7H13NO2
hit structure
1:190063 C12H18N2O4
hit structure
1:190064 C14H26N2O4
hit structure
1:190065 C16H30N2O4
hit structure
1:190066 C7H13NO2
hit structure
1:190067 C16H30N2O4
hit structure
1:190068 C14H22N2O4
hit structure
1:190069 C14H22N2O4
hit structure
1:190070 C18H30N2O4
hit structure
1:190071 C6H13NO2
hit structure
1:190072 C7H15NO2
hit structure
1:190073 C8H17NO2
hit structure
1:190074 C9H19NO2
hit structure
1:190075 C7H15NO2
hit structure
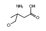
1:190076 C5H10ClNO2
hit structure
1:190077 C6H11NO2
hit structure
1:190078 C9H17NO2
hit structure
1:190079 C10H19NO2
hit structure
1:190080 C7H15NO2
hit structure
1:190081 C7H13NO2
hit structure
1:190082 C7H13NO3
hit structure
1:190083 C5H9NO2
hit structure
1:190084 C6H11NO2
hit structure
1:190085 C9H11NO2
hit structure
1:190086 C9H11NO2
hit structure

1
  <<    <    >    >>  

entries in data collection: 207082