Home Browse Text SearchFunctional Group SearchStructure SearchPreferences Administration

selected data collection: 1

IRIS SDF: browse content


1
  <<    <    >    >>  

1:188576 C19H18N2O5
hit structure
1:188577 C22H25NO4S2
hit structure
1:188578 C18H17NO5
hit structure
1:188579 C21H23NO4
hit structure
1:188580 C27H33NO6
hit structure
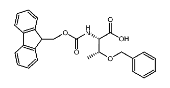
1:188581 C20H19NO5
hit structure
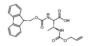
1:188582 C23H24N2O6
hit structure
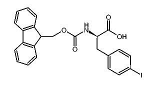
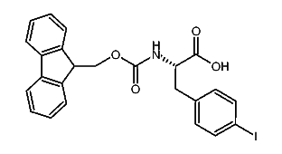
1:188583 C24H20INO4
hit structure
1:188584 C24H20INO4
hit structure
1:188585 C39H35NO4S
hit structure
1:188586 C23H23F3N2O5
hit structure
1:188587 C20H17NO4
hit structure
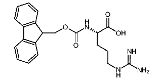
1:188588 C21H24N4O4
hit structure
1:188589 C25H23NO5
hit structure
1:188590 C38H33NO4S
hit structure
1:188591 C32H38N4O7S
hit structure
1:188592 C24H19F2NO4
hit structure
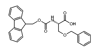
1:188593 C19H19NO4
hit structure
1:188594 C19H19NO4
hit structure
1:188595 C38H33NO5S
hit structure
1:188596 C38H33NO5
hit structure
1:188597 C43H34ClNO5
hit structure
1:188598 C41H40N2O5
hit structure
1:188599 C35H32N2O6
hit structure
1:188600 C26H25NO5
hit structure

1
  <<    <    >    >>  

entries in data collection: 197018