Home Browse Text SearchFunctional Group SearchStructure SearchPreferences Administration

selected data collection: 1

IRIS SDF: browse content


1
  <<    <    >    >>  

1:188327 C22H23NO4
hit structure
1:188328 C34H36BNO6
hit structure
1:188329 C20H19NO4
hit structure
1:188330 C19H17NO4
hit structure
1:188331 C20H19NO4
hit structure
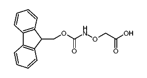
1:188332 C17H15NO5
hit structure
1:188333 C22H23NO4
hit structure
1:188334 C22H23NO4
hit structure
1:188335 C22H23NO4
hit structure
1:188336 C22H23NO4
hit structure
1:188337 C18H17NO4
hit structure
1:188338 C18H17NO4
hit structure
1:188339 C34H40N4O7S
hit structure
1:188340 C36H41F3N4O7S
hit structure
1:188341 C38H32N2O5
hit structure
1:188342 C39H34N2O6
hit structure
1:188343 C23H25NO6
hit structure
1:188344 C25H20N2O4S
hit structure
1:188345 C38H33NO5S
hit structure
1:188346 C37H31NO4S
hit structure
1:188347 C37H31NO4S
hit structure
1:188348 C39H34N2O5
hit structure
1:188349 C24H27NO6
hit structure
1:188350 C17H15NO4
hit structure
1:188351 C40H32ClN3O4
hit structure

1
  <<    <    >    >>  

entries in data collection: 197018