Home Browse Text SearchFunctional Group SearchStructure SearchPreferences Administration

selected data collection: 1

IRIS SDF: browse content


1
  <<    <    >    >>  

1:186605 C30H35NO5
hit structure
1:186606 C35H44N2O7
hit structure
1:186607 C29H33NO5S
hit structure
1:186608 C30H35NO5
hit structure
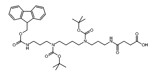
1:186609 C34H42N2O7
hit structure
1:186610 C33H33NO5
hit structure
1:186611 C29H31NO5
hit structure
1:186612 C31H37NO6
hit structure
1:186613 C32H39NO6
hit structure
1:186614 C37H41NO6
hit structure
1:186615 C29H33NO5
hit structure
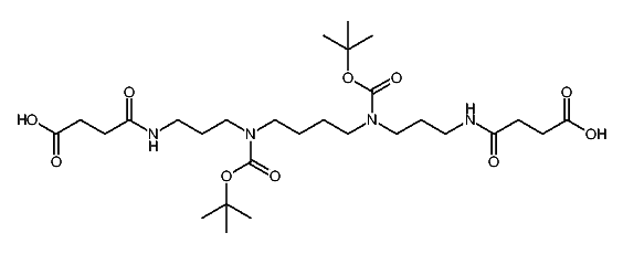
1:186616 C40H42N2O7
hit structure
1:186617 C89H91N7O14
hit structure
1:186618 C96H98N8O15
hit structure
1:186619 C25H50N4O6
hit structure
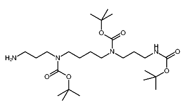
1:186620 C20H42N4O4
hit structure
1:186621 C39H56N4O9
hit structure
1:186622 C10H24N6
hit structure
1:186623 C31H58N4O10
hit structure
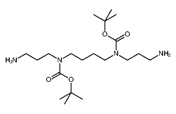
1:186624 C20H42N4O4
hit structure
1:186625 C10H22N8
hit structure
1:186626 C29H54N4O9
hit structure
1:186627 C25H48N6O6
hit structure
1:186628 C28H50N4O10
hit structure
1:186629 CH2Cl2
hit structure

1
  <<    <    >    >>  

entries in data collection: 186954