Home Browse Text SearchFunctional Group SearchStructure SearchPreferences Administration

selected data collection: 1

IRIS SDF: browse content


1
  <<    <    >    >>  

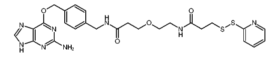
1:186305 C31H40N8O9
hit structure
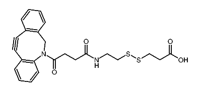
1:186306 C21H21N7O2S2
hit structure
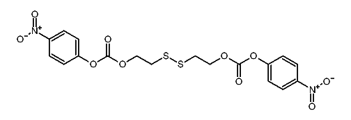
1:186307 C26H30N8O4S2
hit structure
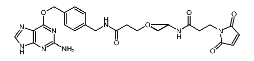
1:186308 C34H31N7O3
hit structure
1:186309 C24H22N2O2
hit structure
1:186310 C23H21F9N4O4S
hit structure
1:186311 C21H16F9NO5S
hit structure
1:186312 C35H41F9N4O6S2
hit structure
1:186313 C16H30N4O4S
hit structure
1:186314 C7H7N3O
hit structure
1:186315 C8H4N2O4S
hit structure
1:186316 C12H16N2O5S2
hit structure
1:186317 C5H9N3O2S2
hit structure
1:186318 C24H24N2O4S2
hit structure
1:186319 C14H24N6O2S3
hit structure
1:186320 C20H22BNO7
hit structure
1:186321 C36H35BN2O13
hit structure
1:186322 C11H12N4O5S2
hit structure
1:186323 C18H16N2O10S2
hit structure
1:186324 C19H14N2O4S3
hit structure
1:186325 C10H17NOS
hit structure
1:186326 C13H22N2O2S
hit structure
1:186327 C14H21NO4S
hit structure
1:186328 C18H34N4O5S
hit structure
1:186329 C10H8N4OS
hit structure

1
  <<    <    >    >>  

entries in data collection: 186954