Home Browse Text SearchFunctional Group SearchStructure SearchPreferences Administration

selected data collection: 1

IRIS SDF: browse content


1
  <<    <    >    >>  

1:185432 C24H36N4O6S
hit structure
1:185433 C18H25N3O3S
hit structure
1:185434 C16H28N4O4S
hit structure
1:185435 C46H50N10O9
hit structure
1:185436 C55H65N7O12
hit structure
1:185437 C51H53N7O16
hit structure
1:185438 C48H63N13O10
hit structure
1:185439 C23H34N4O4S3
hit structure
1:185440 C14H20N4O4
hit structure
1:185441 C16H15N5
hit structure
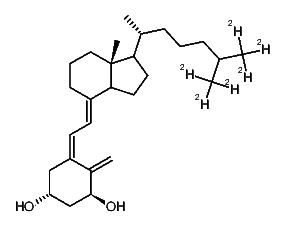
1:185442 C27H38D6O2
hit structure
1:185443 C27H40D6O2
hit structure
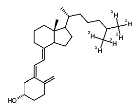
1:185444 C27H38D6O
hit structure
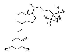
1:185445 C27H38D6O2
hit structure
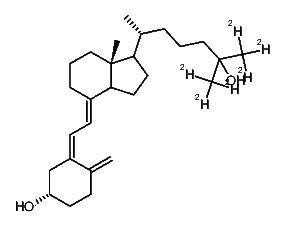
1:185446 C27H38D6O3
hit structure
1:185447 C27H41D3O
hit structure
1:185448 C27H38D6O
hit structure
1:185449 C27H40D6O
hit structure
1:185450 C28H38D6O2
hit structure
1:185451 C28H38D6O2
hit structure
1:185452 C28H38D6O3
hit structure
1:185453 C28H41D3O
hit structure
1:185454 C28H38D6O
hit structure
1:185455 C29H47D3O2
hit structure
1:185456 C29H44D6O2
hit structure

1
  <<    <    >    >>  

entries in data collection: 186954