Home Browse Text SearchFunctional Group SearchStructure SearchPreferences Administration

selected data collection: 1

IRIS SDF: browse content


1
  <<    <    >    >>  

1:185032 C14H26N2O4
hit structure
1:185033 C16H30N2O4
hit structure
1:185034 C7H13NO2
hit structure
1:185035 C16H30N2O4
hit structure
1:185036 C14H22N2O4
hit structure
1:185037 C14H22N2O4
hit structure
1:185038 C18H30N2O4
hit structure
1:185039 C6H13NO2
hit structure
1:185040 C7H15NO2
hit structure
1:185041 C8H17NO2
hit structure
1:185042 C9H19NO2
hit structure
1:185043 C7H15NO2
hit structure
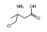
1:185044 C5H10ClNO2
hit structure
1:185045 C6H11NO2
hit structure
1:185046 C9H17NO2
hit structure
1:185047 C10H19NO2
hit structure
1:185048 C7H15NO2
hit structure
1:185049 C7H13NO2
hit structure
1:185050 C7H13NO3
hit structure
1:185051 C5H9NO2
hit structure
1:185052 C6H11NO2
hit structure
1:185053 C9H11NO2
hit structure
1:185054 C9H11NO2
hit structure
1:185055 C14H21N7O4
hit structure
1:185056 C26H28N4O2
hit structure

1
  <<    <    >    >>  

entries in data collection: 186954