Home Browse Text SearchFunctional Group SearchStructure SearchPreferences Administration

selected data collection: 1

IRIS SDF: browse content


1
  <<    <    >    >>  

1:182305 C15H21NO5
hit structure
1:182306 C8H15NO5
hit structure
1:182307 C16H23NO5
hit structure
1:182308 C9H17NO5
hit structure
1:182309 C9H15NO4S
hit structure
1:182310 C15H19NO4
hit structure
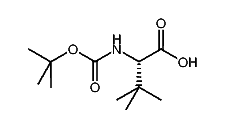
1:182311 C11H21NO4
hit structure
1:182312 C21H28N2O6
hit structure
1:182313 C17H20N2O5
hit structure
1:182314 C16H20N2O4
hit structure
1:182315 C22H24BrNO7
hit structure
1:182316 C17H23NO5
hit structure
1:182317 C21H25NO5
hit structure
1:182318 C14H19NO5
hit structure
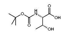
1:182319 C10H19NO4
hit structure
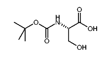
1:182320 C9H17NO4
hit structure
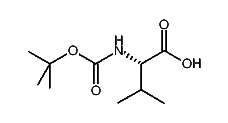
1:182321 C11H19NO4
hit structure
1:182322 C18H23N3O6S
hit structure
1:182323 C17H19N5O8
hit structure
1:182324 C17H24N2O6
hit structure
1:182325 C12H20N2O6
hit structure
1:182326 C12H20N2O6
hit structure
1:182327 C10H17BrN2O5
hit structure
1:182328 C14H18N4O8
hit structure
1:182329 C16H22N2O6
hit structure

1
  <<    <    >    >>  

entries in data collection: 186954