Home Browse Text SearchFunctional Group SearchStructure SearchPreferences Administration

selected data collection: 1

IRIS SDF: browse content


1
  <<    <    >    >>  

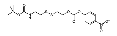
1:181223 C16H22N2O7S2
hit structure
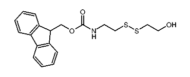
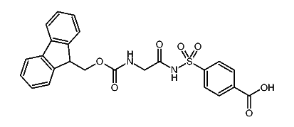
1:181224 C19H21NO3S2
hit structure
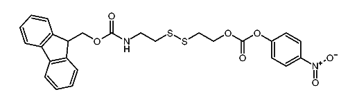
1:181225 C26H24N2O7S2
hit structure
1:181226 C19H14N2O5S2
hit structure
1:181227 C14H21NO3S2
hit structure
1:181228 C21H24N2O7S2
hit structure
1:181229 C24H23NO3S2
hit structure
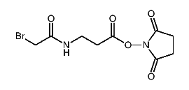
1:181230 C9H11BrN2O5
hit structure
1:181231 C8H14N2O2S
hit structure
1:181232 C24H20N2O7S
hit structure
1:181233 C16H32ClN3O5
hit structure
1:181234 C9H9N3O2
hit structure
1:181235 C10H19NO5
hit structure
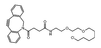
1:181236 C29H35ClN2O4
hit structure
1:181237 C10H22ClNO2
hit structure
1:181238 C14H30ClNO4
hit structure
1:181239 C10H20ClN3O2
hit structure
1:181240 C14H28ClN3O4
hit structure
1:181241 C16H26N2O2
hit structure
1:181242 C16H30N2O2
hit structure
1:181243 C18H34N2O2
hit structure
1:181244 C18H30N2O2
hit structure
1:181245 C29H31NO6
hit structure
1:181246 C30H29NO6
hit structure
1:181247 C28H29NO6
hit structure

1
  <<    <    >    >>  

entries in data collection: 181922