Home Browse Text SearchFunctional Group SearchStructure SearchPreferences Administration

selected data collection: 1

IRIS SDF: browse content


1
  <<    <    >    >>  

1:180673 C25H28O3S
hit structure
1:180674 C10H24N4O5S
hit structure
1:180675 C20H20F4N2O7
hit structure
1:180676 C18H35NO8
hit structure
1:180677 C13H28N2O5
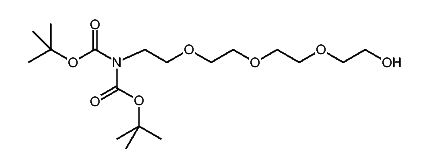
hit structure
1:180678 C15H32N2O6
hit structure
1:180679 C9H20N2O3
hit structure
1:180680 C6H13NO4
hit structure
1:180681 C6H10KN3O4
hit structure
1:180682 C20H38N4O5S
hit structure
1:180683 C24H46N4O13
hit structure
1:180684 C11H21NO6
hit structure
1:180685 C29H52N8O8S3
hit structure
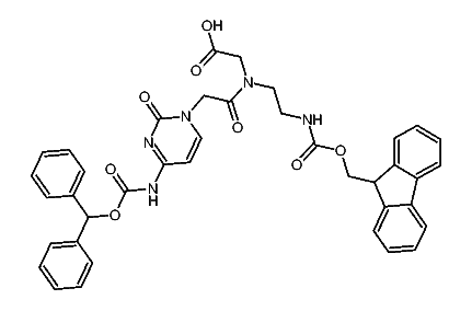
1:180686 C44H60N6O9S3
hit structure
1:180687 C13H26N4O5
hit structure
1:180688 C14H24O7
hit structure
1:180689 C25H31NO7
hit structure
1:180690 C27H35NO8
hit structure
1:180691 C29H39NO9
hit structure
1:180692 C31H43NO10
hit structure
1:180693 C37H33N3O3
hit structure
1:180694 C37H33N3O3
hit structure
1:180695 C40H35N7O7
hit structure
1:180696 C39H35N5O8
hit structure
1:180697 C40H35N7O8
hit structure

1
  <<    <    >    >>  

entries in data collection: 186954