Home Browse Text SearchFunctional Group SearchStructure SearchPreferences Administration

selected data collection: 1

IRIS SDF: browse content


1
  <<    <    >    >>  

1:180448 C29H36Cl2N6O3
hit structure
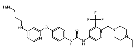
1:180449 C28H35F3N8O2
hit structure
1:180450 C26H23F3N4O4
hit structure
1:180451 C26H23F3N4O4
hit structure
1:180452 C21H20Cl2N4O3
hit structure
1:180453 C21H20Cl2N4O3
hit structure
1:180454 C21H17FN4
hit structure
1:180455 C20H20N4O2
hit structure
1:180456 C95H142N26O23S2
hit structure
1:180457 C57H78N12O16
hit structure
1:180458 C17H21N3O4S
hit structure
1:180459 C13H22N6O2S
hit structure
1:180460 C16H22N4O4S
hit structure
1:180461 C17H24N4O2S3
hit structure
1:180462 C28H45N5O6S3
hit structure
1:180463 C12H21N3O2S2
hit structure
1:180464 C23H42N4O6S2
hit structure
1:180465 C28H30N4O3S
hit structure
1:180466 C20H25N7O2S
hit structure
1:180467 C31H46N8O7S
hit structure
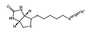
1:180468 C10H17N5OS
hit structure
1:180469 C12H18N2OS
hit structure
1:180470 C10H17N3O2S
hit structure
1:180471 C27H46O
hit structure
1:180472 C23H30N4O2S
hit structure

1
  <<    <    >    >>  

entries in data collection: 186954