Home Browse Text SearchFunctional Group SearchStructure SearchPreferences Administration

selected data collection: 1

IRIS SDF: browse content


1
  <<    <    >    >>  

1:180398 C17H11NO3
hit structure
1:180399 C9H15O6P
hit structure
1:180400 C24H36N4O6S
hit structure
1:180401 C18H25N3O3S
hit structure
1:180402 C16H28N4O4S
hit structure
1:180403 C46H50N10O9
hit structure
1:180404 C55H65N7O12
hit structure
1:180405 C51H53N7O16
hit structure
1:180406 C48H63N13O10
hit structure
1:180407 C23H34N4O4S3
hit structure
1:180408 C14H20N4O4
hit structure
1:180409 C16H15N5
hit structure
1:180410 C27H38D6O2
hit structure
1:180411 C27H40D6O2
hit structure
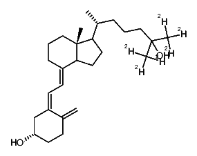
1:180412 C27H38D6O
hit structure
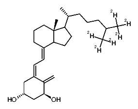
1:180413 C27H38D6O2
hit structure
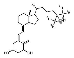
1:180414 C27H38D6O3
hit structure
1:180415 C27H41D3O
hit structure
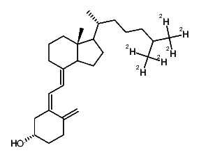
1:180416 C27H38D6O
hit structure
1:180417 C27H40D6O
hit structure
1:180418 C28H38D6O2
hit structure
1:180419 C28H38D6O2
hit structure
1:180420 C28H38D6O3
hit structure
1:180421 C28H41D3O
hit structure
1:180422 C28H38D6O
hit structure

1
  <<    <    >    >>  

entries in data collection: 186954