Home Browse Text SearchFunctional Group SearchStructure SearchPreferences Administration

selected data collection: 1

IRIS SDF: browse content


1
  <<    <    >    >>  

1:17810 C21H23NO5
hit structure
1:17811 C23H22N2O5
hit structure
1:17812 C26H28N2O5
hit structure
1:17813 C27H29NO4
hit structure
1:17814 C25H23NO4
hit structure
1:17815 C28H31NO4
hit structure
1:17816 C20H19NO4
hit structure
1:17817 C28H31NO4
hit structure
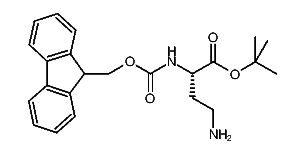
1:17818 C24H28N2O6
hit structure
1:17819 C23H28N2O4
hit structure
1:17820 C27H27N3O8S
hit structure
1:17821 C29H28N2O7
hit structure
1:17822 C22H20N2O6
hit structure
1:17823 C24H25NO4
hit structure
1:17824 C22H19NO5
hit structure
1:17825 C19H16F3NO4
hit structure
1:17826 C19H16F3NO4
hit structure
1:17827 C19H16F3NO4
hit structure
1:17828 C18H15F2NO4
hit structure
1:17829 C20H17F2NO4
hit structure
1:17830 C20H18FNO4
hit structure
1:17831 C20H18FNO4
hit structure
1:17832 C21H18F3NO4
hit structure
1:17833 C27H24FNO4
hit structure
1:17834 C26H30N2O6
hit structure

1
  <<    <    >    >>  

entries in data collection: 131602