Home Browse Text SearchFunctional Group SearchStructure SearchPreferences Administration

selected data collection: 1

IRIS SDF: browse content


1
  <<    <    >    >>  

1:177774 C13H17NO4
hit structure
1:177775 C14H19NO4S
hit structure
1:177776 C11H16N2O4
hit structure
1:177777 C15H21NO4
hit structure
1:177778 C18H27NO5
hit structure
1:177779 C10H17NO4S
hit structure
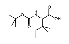
1:177780 C13H17NO4
hit structure
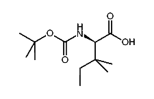
1:177781 C13H17NO4
hit structure
1:177782 C8H15NO5
hit structure
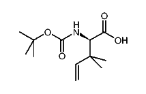
1:177783 C10H17NO4
hit structure
1:177784 C10H15NO4
hit structure
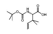
1:177785 C10H17NO4
hit structure
1:177786 C10H17NO4
hit structure
1:177787 C17H27NO4
hit structure
1:177788 C28H38N2O10
hit structure
1:177789 C28H38N2O10
hit structure
1:177790 C30H42N2O8
hit structure
1:177791 C12H23NO4
hit structure
1:177792 C12H23NO4
hit structure
1:177793 C12H21NO4
hit structure
1:177794 C12H21NO4
hit structure
1:177795 C12H21NO4
hit structure
1:177796 C15H26N2O4
hit structure
1:177797 C13H23NO4
hit structure
1:177798 C14H25NO4
hit structure

1
  <<    <    >    >>  

entries in data collection: 181922