Home Browse Text SearchFunctional Group SearchStructure SearchPreferences Administration

selected data collection: 1

IRIS SDF: browse content


1
  <<    <    >    >>  

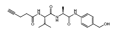
1:177017 C25H34N4O6
hit structure
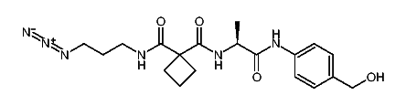
1:177018 C32H37N5O10
hit structure
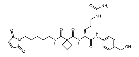
1:177019 C21H32N6O4
hit structure
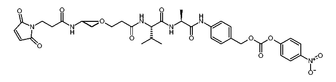
1:177020 C28H35N7O8
hit structure
1:177021 C20H27N3O4
hit structure
1:177022 C27H30N4O8
hit structure
1:177023 C26H42N6O8
hit structure
1:177024 C33H45N7O12
hit structure
1:177025 C29H45N3O9
hit structure
1:177026 C36H48N4O13
hit structure
1:177027 C33H49N5O11
hit structure
1:177028 C40H52N6O15
hit structure
1:177029 C40H51N5O8
hit structure
1:177030 C28H38N6O7
hit structure
1:177031 C35H41N7O11
hit structure
1:177032 C22H32N8O5
hit structure
1:177033 C29H35N9O9
hit structure
1:177034 C22H29N5O5
hit structure
1:177035 C29H32N6O9
hit structure
1:177036 C37H40N6O6
hit structure
1:177037 C44H43N7O10
hit structure
1:177038 C25H32N4O6
hit structure
1:177039 C32H35N5O10
hit structure
1:177040 C19H26N6O4
hit structure
1:177041 C26H29N7O8
hit structure

1
  <<    <    >    >>  

entries in data collection: 181922