Home Browse Text SearchFunctional Group SearchStructure SearchPreferences Administration

selected data collection: 1

IRIS SDF: browse content


1
  <<    <    >    >>  

1:175367 C9H15O6P
hit structure
1:175368 C24H36N4O6S
hit structure
1:175369 C18H25N3O3S
hit structure
1:175370 C16H28N4O4S
hit structure
1:175371 C46H50N10O9
hit structure
1:175372 C55H65N7O12
hit structure
1:175373 C51H53N7O16
hit structure
1:175374 C48H63N13O10
hit structure
1:175375 C23H34N4O4S3
hit structure
1:175376 C14H20N4O4
hit structure
1:175377 C16H15N5
hit structure
1:175378 C27H38D6O2
hit structure
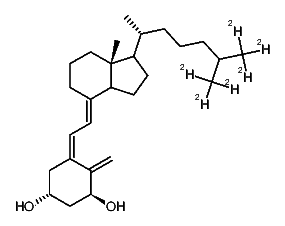
1:175379 C27H40D6O2
hit structure
1:175380 C27H38D6O
hit structure
1:175381 C27H38D6O2
hit structure
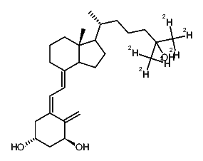
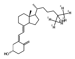
1:175382 C27H38D6O3
hit structure
1:175383 C27H41D3O
hit structure
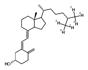
1:175384 C27H38D6O
hit structure
1:175385 C27H40D6O
hit structure
1:175386 C28H38D6O2
hit structure
1:175387 C28H38D6O2
hit structure
1:175388 C28H38D6O3
hit structure
1:175389 C28H41D3O
hit structure
1:175390 C28H38D6O
hit structure
1:175391 C29H47D3O2
hit structure

1
  <<    <    >    >>  

entries in data collection: 181922