Home Browse Text SearchFunctional Group SearchStructure SearchPreferences Administration

selected data collection: 1

IRIS SDF: browse content


1
  <<    <    >    >>  

1:174942 C16H30N2O4
hit structure
1:174943 C14H22N2O4
hit structure
1:174944 C14H22N2O4
hit structure
1:174945 C18H30N2O4
hit structure
1:174946 C7H13NO2
hit structure
1:174947 C6H13NO2
hit structure
1:174948 C7H15NO2
hit structure
1:174949 C8H17NO2
hit structure
1:174950 C9H19NO2
hit structure
1:174951 C7H15NO2
hit structure
1:174952 C6H13NO2
hit structure
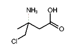
1:174953 C5H10ClNO2
hit structure
1:174954 C9H17NO2
hit structure
1:174955 C10H19NO2
hit structure
1:174956 C7H15NO2
hit structure
1:174957 C7H13NO2
hit structure
1:174958 C7H13NO3
hit structure
1:174959 C5H9NO2
hit structure
1:174960 C6H11NO2
hit structure
1:174961 C16H26N2O4
hit structure
1:174962 C16H22N2O4
hit structure
1:174963 C18H34N2O4
hit structure
1:174964 C18H30N2O4
hit structure
1:174965 C8H15NO2
hit structure
1:174966 C7H13NO2
hit structure

1
  <<    <    >    >>  

entries in data collection: 181922