Home Browse Text SearchFunctional Group SearchStructure SearchPreferences Administration

selected data collection: 1

IRIS SDF: browse content


1
  <<    <    >    >>  

1:172209 C16H23NO5S
hit structure
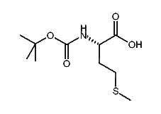
1:172210 C12H23NO4S
hit structure
1:172211 C16H27NO6
hit structure
1:172212 C16H25N3O6
hit structure
1:172213 C11H17N3O4
hit structure
1:172214 C10H17NO5
hit structure
1:172215 C11H21NO4
hit structure
1:172216 C11H21NO4
hit structure
1:172217 C19H27ClN2O6
hit structure
1:172218 C15H26N2O6
hit structure
1:172219 C16H30N2O6
hit structure
1:172220 C19H28N2O6
hit structure
1:172221 C11H22N2O4
hit structure
1:172222 C9H17NO4
hit structure
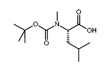
1:172223 C12H23NO4
hit structure
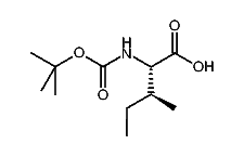
1:172224 C12H23NO4
hit structure
1:172225 C15H21NO4
hit structure
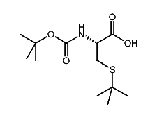
1:172226 C10H19NO4S
hit structure
1:172227 C22H27NO5
hit structure
1:172228 C11H21NO5
hit structure
1:172229 C11H21NO4
hit structure
1:172230 C14H24N2O6
hit structure
1:172231 C15H28N2O6
hit structure
1:172232 C25H30N2O6
hit structure
1:172233 C18H26N2O6
hit structure

1
  <<    <    >    >>  

entries in data collection: 644720