Home Browse Text SearchFunctional Group SearchStructure SearchPreferences Administration

selected data collection: 1

IRIS SDF: browse content


1
  <<    <    >    >>  

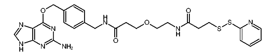
1:171209 C31H40N8O9
hit structure
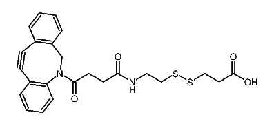
1:171210 C21H21N7O2S2
hit structure
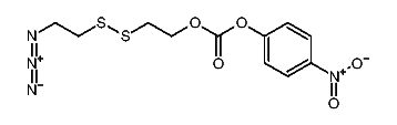
1:171211 C26H30N8O4S2
hit structure
1:171212 C34H31N7O3
hit structure
1:171213 C24H22N2O2
hit structure
1:171214 C23H21F9N4O4S
hit structure
1:171215 C21H16F9NO5S
hit structure
1:171216 C35H41F9N4O6S2
hit structure
1:171217 C16H30N4O4S
hit structure
1:171218 C7H7N3O
hit structure
1:171219 C8H4N2O4S
hit structure
1:171220 C12H16N2O5S2
hit structure
1:171221 C5H9N3O2S2
hit structure
1:171222 C24H24N2O4S2
hit structure
1:171223 C14H24N6O2S3
hit structure
1:171224 C20H22BNO7
hit structure
1:171225 C36H35BN2O13
hit structure
1:171226 C11H12N4O5S2
hit structure
1:171227 C18H16N2O10S2
hit structure
1:171228 C19H14N2O4S3
hit structure
1:171229 C10H17NOS
hit structure
1:171230 C13H22N2O2S
hit structure
1:171231 C14H21NO4S
hit structure
1:171232 C18H34N4O5S
hit structure
1:171233 C10H8N4OS
hit structure

1
  <<    <    >    >>  

entries in data collection: 672870