Home Browse Text SearchFunctional Group SearchStructure SearchPreferences Administration

selected data collection: 1

IRIS SDF: browse content


1
  <<    <    >    >>  

1:171159 C16H22N2O7S2
hit structure
1:171160 C19H21NO3S2
hit structure
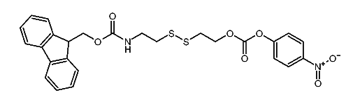
1:171161 C26H24N2O7S2
hit structure
1:171162 C19H14N2O5S2
hit structure
1:171163 C14H21NO3S2
hit structure
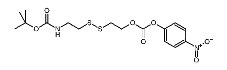
1:171164 C21H24N2O7S2
hit structure
1:171165 C24H23NO3S2
hit structure
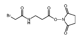
1:171166 C9H11BrN2O5
hit structure
1:171167 C8H14N2O2S
hit structure
1:171168 C24H20N2O7S
hit structure
1:171169 C16H32ClN3O5
hit structure
1:171170 C9H9N3O2
hit structure
1:171171 C10H19NO5
hit structure
1:171172 C29H35ClN2O4
hit structure
1:171173 C10H22ClNO2
hit structure
1:171174 C14H30ClNO4
hit structure
1:171175 C10H20ClN3O2
hit structure
1:171176 C14H28ClN3O4
hit structure
1:171177 C16H26N2O2
hit structure
1:171178 C16H30N2O2
hit structure
1:171179 C18H34N2O2
hit structure
1:171180 C18H30N2O2
hit structure
1:171181 C29H31NO6
hit structure
1:171182 C30H29NO6
hit structure
1:171183 C28H29NO6
hit structure

1
  <<    <    >    >>  

entries in data collection: 672870