Home Browse Text SearchFunctional Group SearchStructure SearchPreferences Administration

selected data collection: 1

IRIS SDF: browse content


1
  <<    <    >    >>  

1:170459 C52H54N4O10
hit structure
1:170460 C50H56N6O10
hit structure
1:170461 C46H51N3O10
hit structure
1:170462 C4H11Fe3NO4
hit structure
1:170463 C4H9ClFe3O4
hit structure
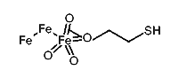
1:170464 C4H10Fe3O4S
hit structure
1:170465 C4H8Fe3O6
hit structure
1:170466 C4H9Fe3N3O4
hit structure
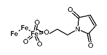
1:170467 C8H15Fe3N5O4S
hit structure
1:170468 C8H11Fe3NO6
hit structure
1:170469 C7H14Fe3O6
hit structure
1:170470 C6H16Fe3N2O4
hit structure
1:170471 C7H14Fe3O6
hit structure
1:170472 C4H11Fe3NO4
hit structure
1:170473 C4H9ClFe3O4
hit structure
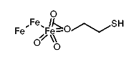
1:170474 C4H10Fe3O4S
hit structure
1:170475 C4H8Fe3O6
hit structure
1:170476 C4H9Fe3N3O4
hit structure
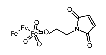
1:170477 C8H15Fe3N5O4S
hit structure
1:170478 C8H11Fe3NO6
hit structure
1:170479 C7H14Fe3O6
hit structure
1:170480 C6H16Fe3N2O4
hit structure
1:170481 C7H14Fe3O6
hit structure
1:170482 C43H79N3O13
hit structure
1:170483 C47H82N4O15
hit structure

1
  <<    <    >    >>  

entries in data collection: 689760