Home Browse Text SearchFunctional Group SearchStructure SearchPreferences Administration

selected data collection: 1

IRIS SDF: browse content


1
  <<    <    >    >>  

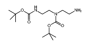
1:17035 C11H22N2O2
hit structure
1:17036 C13H26N2O2
hit structure
1:17037 C14H29N3O4
hit structure
1:17038 C14H29N3O4
hit structure
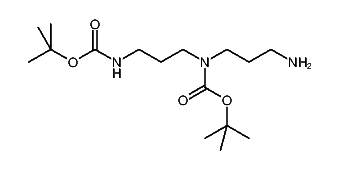
1:17039 C16H33N3O4
hit structure
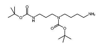
1:17040 C16H33N3O4
hit structure
1:17041 C17H35N3O4
hit structure
1:17042 C17H35N3O4
hit structure
1:17043 C10H22N4O3
hit structure
1:17044 C24H50N4O4
hit structure
1:17045 C9H20N2O2S2
hit structure
1:17046 C13H28N2O2
hit structure
1:17047 C14H30N2O2
hit structure
1:17048 C15H32N2O2
hit structure
1:17049 C16H34N2O2
hit structure
1:17050 C17H36N2O2
hit structure
1:17051 C14H27N3O4
hit structure
1:17052 C9H19N3O2
hit structure
1:17053 C9H18N2O3
hit structure
1:17054 C23H47N5O6
hit structure
1:17055 C42H61N5O11
hit structure
1:17056 C13H22N2O4S2
hit structure
1:17057 C9H21N3O2
hit structure
1:17058 C16H33N3O4
hit structure
1:17059 C9H21N3O2
hit structure

1
  <<    <    >    >>  

entries in data collection: 131602