Home Browse Text SearchFunctional Group SearchStructure SearchPreferences Administration

selected data collection: 1

IRIS SDF: browse content


1
  <<    <    >    >>  

1:168159 C11H28N2O3
hit structure
1:168160 C11H28N2O3
hit structure
1:168161 C11H28N2O3
hit structure
1:168162 C11H28N2O3
hit structure
1:168163 C11H28N2O3
hit structure
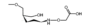
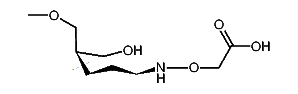
1:168164 C11H25NO5
hit structure
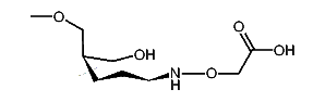
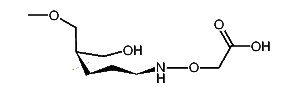
1:168165 C11H25NO5
hit structure
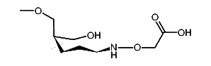
1:168166 C11H25NO5
hit structure
1:168167 C11H25NO5
hit structure
1:168168 C11H25NO5
hit structure
1:168169 C11H25NO5
hit structure
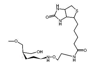
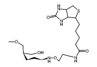
1:168170 C21H42N4O5S
hit structure
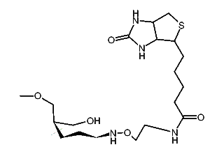
1:168171 C21H42N4O5S
hit structure
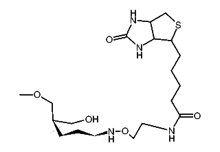
1:168172 C21H42N4O5S
hit structure
1:168173 C21H42N4O5S
hit structure
1:168174 C21H42N4O5S
hit structure
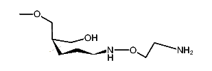
1:168175 C12H29NO3S
hit structure
1:168176 C25H23N3O2
hit structure
1:168177 C47H51FN7O7P
hit structure
1:168178 C41H49FN5O8P
hit structure
1:168179 C44H53FN7O8P
hit structure
1:168180 C48H54N7O8P
hit structure
1:168181 C47H54N5O9P
hit structure
1:168182 C45H56N7O9P
hit structure
1:168183 C40H49N4O9P
hit structure

1
  <<    <    >    >>  

entries in data collection: 751690