Home Browse Text SearchFunctional Group SearchStructure SearchPreferences Administration

selected data collection: 1

IRIS SDF: browse content


1
  <<    <    >    >>  

1:167596 C14H16N8O2
hit structure
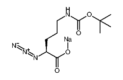
1:167597 C10H17N4NaO4
hit structure
1:167598 C12H13N5O2
hit structure
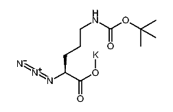
1:167599 C10H17KN4O4
hit structure
1:167600 C15H19N5O2
hit structure
1:167601 C14H17N5O2
hit structure
1:167602 C20H32N4O5S
hit structure
1:167603 C11H23N3O3
hit structure
1:167604 C10H19NO2
hit structure
1:167605 C22H26N2O4
hit structure
1:167606 C20H32N4O5S
hit structure
1:167607 C7H16N2O2
hit structure
1:167608 C6H12N2O3
hit structure
1:167609 C15H16N2O2
hit structure
1:167610 C9H18N2O3
hit structure
1:167611 C10H13NO2
hit structure
1:167612 C9H18N2O3
hit structure
1:167613 C13H14N2O
hit structure
1:167614 C11H13N3O3
hit structure
1:167615 C16H16N4O
hit structure
1:167616 C13H14N2O2
hit structure
1:167617 C12H18N2O4
hit structure
1:167618 C12H18N2O4
hit structure
1:167619 C5H9NO3
hit structure
1:167620 C11H24N4O2
hit structure

1
  <<    <    >    >>  

entries in data collection: 181922