Home Browse Text SearchFunctional Group SearchStructure SearchPreferences Administration

selected data collection: 1

IRIS SDF: browse content


1
  <<    <    >    >>  

1:16435 C14H17Cl2NO5
hit structure
1:16436 C16H31NO4
hit structure
1:16437 C17H33NO4
hit structure
1:16438 C25H28N2O6
hit structure
1:16439 C9H16N4O4
hit structure
1:16440 C9H16N4O4
hit structure
1:16441 C11H20N4O4
hit structure
1:16442 C11H20N4O4
hit structure
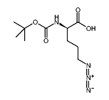
1:16443 C8H14N4O4
hit structure
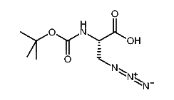
1:16444 C8H14N4O4
hit structure
1:16445 C10H18N4O4
hit structure
1:16446 C10H18N4O4
hit structure
1:16447 C12H21NO7
hit structure
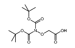
1:16448 C13H18N2O4
hit structure
1:16449 C14H18N4O4
hit structure
1:16450 C14H18N4O4
hit structure
1:16451 C13H17N3O6S2
hit structure
1:16452 C12H19N3O4
hit structure
1:16453 C12H19N3O4
hit structure
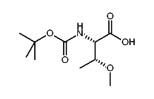
1:16454 C11H21NO4
hit structure
1:16455 C9H17NO5
hit structure
1:16456 C12H24N2O4
hit structure
1:16457 C15H21NO4
hit structure
1:16458 C10H16N4O4
hit structure
1:16459 C10H19NO5
hit structure

1
  <<    <    >    >>  

entries in data collection: 126570