Home Browse Text SearchFunctional Group SearchStructure SearchPreferences Administration

selected data collection: 1

IRIS SDF: browse content


1
  <<    <    >    >>  

1:15510 C31H37NO5S
hit structure
1:15511 C31H37NO5S2
hit structure
1:15512 C48H46N2O6
hit structure
1:15513 C33H39NO7
hit structure
1:15514 C26H27NO5
hit structure
1:15515 C49H45N3O5
hit structure
1:15516 C30H35NO5
hit structure
1:15517 C30H35NO5
hit structure
1:15518 C35H44N2O7
hit structure
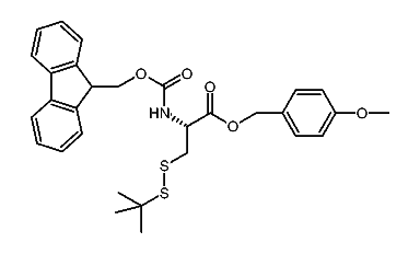
1:15519 C29H33NO5S
hit structure
1:15520 C30H35NO5
hit structure
1:15521 C34H42N2O7
hit structure
1:15522 C33H33NO5
hit structure
1:15523 C29H31NO5
hit structure
1:15524 C31H37NO6
hit structure
1:15525 C32H39NO6
hit structure
1:15526 C37H41NO6
hit structure
1:15527 C29H33NO5
hit structure
1:15528 C40H42N2O7
hit structure
1:15529 C89H91N7O14
hit structure
1:15530 C96H98N8O15
hit structure
1:15531 C25H50N4O6
hit structure
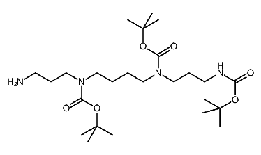
1:15532 C20H42N4O4
hit structure
1:15533 C39H56N4O9
hit structure
1:15534 C10H24N6
hit structure

1
  <<    <    >    >>  

entries in data collection: 116506