Home Browse Text SearchFunctional Group SearchStructure SearchPreferences Administration

selected data collection: 1

IRIS SDF: browse content


1
  <<    <    >    >>  

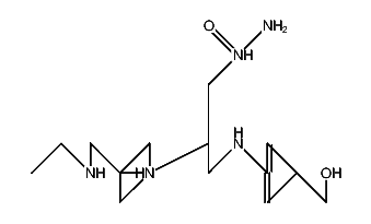
1:151 C32H51N5O10 C32H51N5O10 C32H51N5O10 C32H51N
hit structure
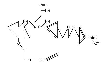
1:152 C39H54N6O14 C39H54N6O14 C39H54N6O14 C39H54N
hit structure
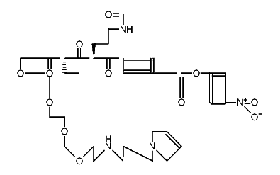
1:153 C33H50N6O11 C33H50N6O11 C33H50N6O11 C33H50N
hit structure
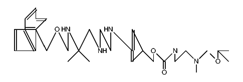
1:154 C36H55N7O12 C36H55N7O12 C36H55N7O12 C36H55N
hit structure
1:155 C43H58N8O16 C43H58N8O16 C43H58N8O16 C43H58N
hit structure
1:156 C43H57N7O9 C43H57N7O9 C43H57N7O9 C43H57N7O9
hit structure
1:157 C25H34N4O6 C25H34N4O6 C25H34N4O6 C25H34N4O6
hit structure
1:158 C32H37N5O10 C32H37N5O10 C32H37N5O10 C32H37N
hit structure
1:159 C21H32N6O4 C21H32N6O4 C21H32N6O4 C21H32N6O4
hit structure
1:160 C28H35N7O8 C28H35N7O8 C28H35N7O8 C28H35N7O8
hit structure
1:161 C20H27N3O4 C20H27N3O4 C20H27N3O4 C20H27N3O4
hit structure
1:162 C27H30N4O8 C27H30N4O8 C27H30N4O8 C27H30N4O8
hit structure
1:163 C26H42N6O8 C26H42N6O8 C26H42N6O8 C26H42N6O8
hit structure
1:164 C33H45N7O12 C33H45N7O12 C33H45N7O12 C33H45N
hit structure
1:165 C29H45N3O9 C29H45N3O9 C29H45N3O9 C29H45N3O9
hit structure
1:166 C36H48N4O13 C36H48N4O13 C36H48N4O13 C36H48N
hit structure
1:167 C33H49N5O11 C33H49N5O11 C33H49N5O11 C33H49N
hit structure
1:168 C40H52N6O15 C40H52N6O15 C40H52N6O15 C40H52N
hit structure
1:169 C40H51N5O8 C40H51N5O8 C40H51N5O8 C40H51N5O8
hit structure
1:170 C28H38N6O7 C28H38N6O7 C28H38N6O7 C28H38N6O7
hit structure
1:171 C35H41N7O11 C35H41N7O11 C35H41N7O11 C35H41N
hit structure
1:172 C22H32N8O5 C22H32N8O5 C22H32N8O5 C22H32N8O5
hit structure
1:173 C29H35N9O9 C29H35N9O9 C29H35N9O9 C29H35N9O9
hit structure
1:174 C22H29N5O5 C22H29N5O5 C22H29N5O5 C22H29N5O5
hit structure
1:175 C29H32N6O9 C29H32N6O9 C29H32N6O9 C29H32N6O9
hit structure

1
  <<    <    >    >>  

entries in data collection: 252370