Home Browse Text SearchFunctional Group SearchStructure SearchPreferences Administration

selected data collection: 1

IRIS SDF: browse content


1
  <<    <    >    >>  

1:147144 C15H21NO5
hit structure
1:147145 C21H34N2O6
hit structure
1:147146 C24H40N2O6
hit structure
1:147147 C15H21NO4
hit structure
1:147148 C19H25N3O5
hit structure
1:147149 C15H21NO4
hit structure
1:147150 C16H23NO5
hit structure
1:147151 C16H23NO5
hit structure
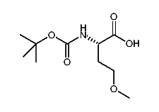
1:147152 C10H19NO5
hit structure
1:147153 C14H25NO6
hit structure
1:147154 C10H17NO6
hit structure
1:147155 C9H17NO4
hit structure
1:147156 C14H19NO5
hit structure
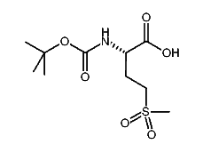
1:147157 C10H19NO6S
hit structure
1:147158 C18H23N3O6S
hit structure
1:147159 C10H15NO5
hit structure
1:147160 C9H17NO4
hit structure
1:147161 C14H25NO4
hit structure
1:147162 C16H23NO5
hit structure
1:147163 C13H25NO5
hit structure
1:147164 C15H29NO4
hit structure
1:147165 C16H31NO4
hit structure
1:147166 C17H33NO4
hit structure
1:147167 C12H15NO4
hit structure
1:147168 C12H15NO4
hit structure

1
  <<    <    >    >>  

entries in data collection: 151730