Home Browse Text SearchFunctional Group SearchStructure SearchPreferences Administration

selected data collection: 1

IRIS SDF: browse content


1
  <<    <    >    >>  

1:144756 C7H15NO2
hit structure
1:144757 C8H17NO2
hit structure
1:144758 C9H19NO2
hit structure
1:144759 C7H15NO2
hit structure
1:144760 C6H13NO2
hit structure
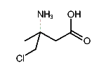
1:144761 C5H10ClNO2
hit structure
1:144762 C9H17NO2
hit structure
1:144763 C10H19NO2
hit structure
1:144764 C7H15NO2
hit structure
1:144765 C7H13NO2
hit structure
1:144766 C7H13NO3
hit structure
1:144767 C5H9NO2
hit structure
1:144768 C6H11NO2
hit structure
1:144769 C16H26N2O4
hit structure
1:144770 C16H22N2O4
hit structure
1:144771 C18H34N2O4
hit structure
1:144772 C18H30N2O4
hit structure
1:144773 C8H15NO2
hit structure
1:144774 C7H13NO2
hit structure
1:144775 C12H18N2O4
hit structure
1:144776 C14H26N2O4
hit structure
1:144777 C16H30N2O4
hit structure
1:144778 C7H13NO2
hit structure
1:144779 C16H30N2O4
hit structure
1:144780 C14H22N2O4
hit structure

1
  <<    <    >    >>  

entries in data collection: 146698