Home Browse Text SearchFunctional Group SearchStructure SearchPreferences Administration

selected data collection: 1

IRIS SDF: browse content


1
  <<    <    >    >>  

1:142002 C11H21N5O6
hit structure
1:142003 C24H38N4O7S
hit structure
1:142004 C18H28N4O6S
hit structure
1:142005 C11H22N4O4
hit structure
1:142006 C22H24N2O6
hit structure
1:142007 C9H16N2O5
hit structure
1:142008 C12H19NO6
hit structure
1:142009 C16H21NO6
hit structure
1:142010 C15H25NO6
hit structure
1:142011 C13H23NO6
hit structure
1:142012 C13H23NO6
hit structure
1:142013 C13H23NO6
hit structure
1:142014 C11H20N2O5S
hit structure
1:142015 C15H21NO4S
hit structure
1:142016 C16H23NO4S
hit structure
1:142017 C16H23NO5S
hit structure
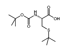
1:142018 C12H23NO4S
hit structure
1:142019 C16H27NO6
hit structure
1:142020 C16H25N3O6
hit structure
1:142021 C11H17N3O4
hit structure
1:142022 C10H17NO5
hit structure
1:142023 C11H21NO4
hit structure
1:142024 C11H21NO4
hit structure
1:142025 C19H27ClN2O6
hit structure
1:142026 C15H26N2O6
hit structure

1
  <<    <    >    >>  

entries in data collection: 146698