Home Browse Text SearchFunctional Group SearchStructure SearchPreferences Administration

selected data collection: 1

IRIS SDF: browse content


1
  <<    <    >    >>  

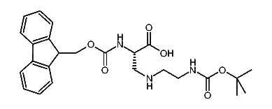
1:138586 C24H28N2O6
hit structure
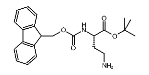
1:138587 C23H28N2O4
hit structure
1:138588 C27H27N3O8S
hit structure
1:138589 C29H28N2O7
hit structure
1:138590 C22H20N2O6
hit structure
1:138591 C24H25NO4
hit structure
1:138592 C22H19NO5
hit structure
1:138593 C19H16F3NO4
hit structure
1:138594 C19H16F3NO4
hit structure
1:138595 C19H16F3NO4
hit structure
1:138596 C18H15F2NO4
hit structure
1:138597 C20H17F2NO4
hit structure
1:138598 C20H18FNO4
hit structure
1:138599 C20H18FNO4
hit structure
1:138600 C21H18F3NO4
hit structure
1:138601 C27H24FNO4
hit structure
1:138602 C26H30N2O6
hit structure
1:138603 C27H32N2O6
hit structure
1:138604 C27H32N2O6
hit structure
1:138605 C28H35N3O8
hit structure
1:138606 C25H31N3O6
hit structure
1:138607 C23H25NO6
hit structure
1:138608 C32H31N3O8S
hit structure
1:138609 C25H30N2O6
hit structure
1:138610 C20H22N2O4
hit structure

1
  <<    <    >    >>  

entries in data collection: 141666