Home Browse Text SearchFunctional Group SearchStructure SearchPreferences Administration

selected data collection: 1

IRIS SDF: browse content


1
  <<    <    >    >>  

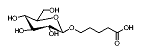
1:13610 C21H36O14
hit structure
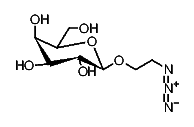
1:13611 C12H23N3O8
hit structure
1:13612 C15H26O9
hit structure
1:13613 C8H15N3O6
hit structure
1:13614 C8H15N3O6
hit structure
1:13615 C8H15N3O6
hit structure
1:13616 C10H18N4O6
hit structure
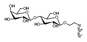
1:13617 C14H25N3O11
hit structure
1:13618 C15H28O11
hit structure
1:13619 C17H31NO11
hit structure
1:13620 C17H31NO11
hit structure
1:13621 C15H28O11
hit structure
1:13622 C11H20O8
hit structure
1:13623 C11H20O8
hit structure
1:13624 C13H23NO8
hit structure
1:13625 C13H23NO8
hit structure
1:13626 C11H20O8
hit structure
1:13627 C31H36N6O7
hit structure
1:13628 C15H15Cl2N5O6
hit structure
1:13629 C28H31ClN6O7
hit structure
1:13630 C28H31ClN6O7
hit structure
1:13631 C22H24N2O9S
hit structure
1:13632 C24H28FN3O10
hit structure
1:13633 C30H42N2O11
hit structure
1:13634 C30H29F2NO9
hit structure

1
  <<    <    >    >>  

entries in data collection: 86314