Home Browse Text SearchFunctional Group SearchStructure SearchPreferences Administration

selected data collection: 1

IRIS SDF: browse content


1
  <<    <    >    >>  

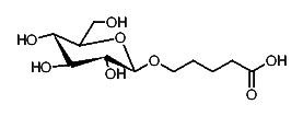
1:134380 C15H26O9
hit structure
1:134381 C8H15N3O6
hit structure
1:134382 C8H15N3O6
hit structure
1:134383 C8H15N3O6
hit structure
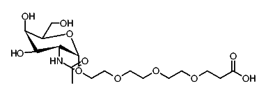
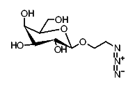
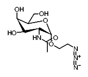
1:134384 C10H18N4O6
hit structure
1:134385 C14H25N3O11
hit structure
1:134386 C15H28O11
hit structure
1:134387 C17H31NO11
hit structure
1:134388 C17H31NO11
hit structure
1:134389 C15H28O11
hit structure
1:134390 C11H20O8
hit structure
1:134391 C11H20O8
hit structure
1:134392 C13H23NO8
hit structure
1:134393 C13H23NO8
hit structure
1:134394 C11H20O8
hit structure
1:134395 C31H36N6O7
hit structure
1:134396 C15H15Cl2N5O6
hit structure
1:134397 C28H31ClN6O7
hit structure
1:134398 C28H31ClN6O7
hit structure
1:134399 C22H24N2O9S
hit structure
1:134400 C24H28FN3O10
hit structure
1:134401 C30H42N2O11
hit structure
1:134402 C30H29F2NO9
hit structure
1:134403 C5H10O5
hit structure
1:134404 C34H44O27R11-
hit structure

1
  <<    <    >    >>  

entries in data collection: 136634