Home Browse Text SearchFunctional Group SearchStructure SearchPreferences Administration

selected data collection: 1

IRIS SDF: browse content


1
  <<    <    >    >>  

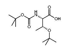
1:132123 C10H19NO4
hit structure
1:132124 C18H25ClN2O6
hit structure
1:132125 C14H18ClNO4
hit structure
1:132126 C14H18FNO4
hit structure
1:132127 C14H17Cl2NO4
hit structure
1:132128 C14H17F2NO4
hit structure
1:132129 C14H18ClNO4
hit structure
1:132130 C14H18INO4
hit structure
1:132131 C14H18BrNO4
hit structure
1:132132 C14H18ClNO4
hit structure
1:132133 C15H21NO4
hit structure
1:132134 C14H20N2O4
hit structure
1:132135 C29H30N2O6
hit structure
1:132136 C22H26N2O6
hit structure
1:132137 C14H18N2O6
hit structure
1:132138 C14H14F5NO4
hit structure
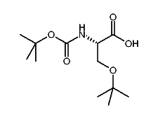
1:132139 C10H15NO4
hit structure
1:132140 C12H23NO5
hit structure
1:132141 C13H25NO5
hit structure
1:132142 C21H23Cl2NO5
hit structure
1:132143 C14H17I2NO5
hit structure
1:132144 C19H27NO7
hit structure
1:132145 C18H27NO5
hit structure
1:132146 C14H18INO5
hit structure
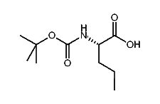
1:132147 C9H17NO4
hit structure

1
  <<    <    >    >>  

entries in data collection: 136634