Home Browse Text SearchFunctional Group SearchStructure SearchPreferences Administration

selected data collection: 1

IRIS SDF: browse content


1
  <<    <    >    >>  

1:130793 C27H36N6O10
hit structure
1:130794 C35H35NO7S2
hit structure
1:130795 C17H29F6N5O3P2
hit structure
1:130796 C6H7N3O4
hit structure
1:130797 C11H10N4O2
hit structure
1:130798 C20H28N4O7
hit structure
1:130799 C15H13N5O4
hit structure
1:130800 C24H31N5O9
hit structure
1:130801 C24H30N6O7
hit structure
1:130802 C10H11N5
hit structure
1:130803 C17H25N5O4
hit structure
1:130804 C29H37N3O6
hit structure
1:130805 C32H42N4O10S
hit structure
1:130806 C21H19NO3
hit structure
1:130807 C25H22N2O5
hit structure
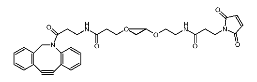
1:130808 C32H40N2O9
hit structure
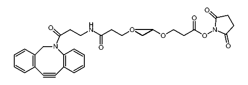
1:130809 C36H43N3O11
hit structure
1:130810 C59H69N3O14S3
hit structure
1:130811 C25H21N3O4
hit structure
1:130812 C36H42N4O9
hit structure
1:130813 C29H36N2O6
hit structure
1:130814 C39H51N5O8S
hit structure
1:130815 C26H30N2O4
hit structure
1:130816 C26H30N2O4
hit structure
1:130817 C26H30N2O4
hit structure

1
  <<    <    >    >>  

entries in data collection: 131602