Home Browse Text SearchFunctional Group SearchStructure SearchPreferences Administration

selected data collection: 1

IRIS SDF: browse content


1
  <<    <    >    >>  

1:125921 C31H40N8O9
hit structure
1:125922 C21H21N7O2S2
hit structure
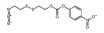
1:125923 C26H30N8O4S2
hit structure
1:125924 C34H31N7O3
hit structure
1:125925 C24H22N2O2
hit structure
1:125926 C23H21F9N4O4S
hit structure
1:125927 C21H16F9NO5S
hit structure
1:125928 C35H41F9N4O6S2
hit structure
1:125929 C16H30N4O4S
hit structure
1:125930 C7H7N3O
hit structure
1:125931 C8H4N2O4S
hit structure
1:125932 C12H16N2O5S2
hit structure
1:125933 C5H9N3O2S2
hit structure
1:125934 C24H24N2O4S2
hit structure
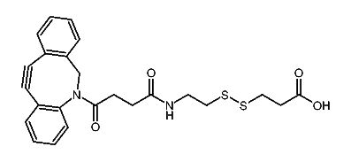
1:125935 C14H24N6O2S3
hit structure
1:125936 C20H22BNO7
hit structure
1:125937 C36H35BN2O13
hit structure
1:125938 C11H12N4O5S2
hit structure
1:125939 C18H16N2O10S2
hit structure
1:125940 C19H14N2O4S3
hit structure
1:125941 C10H17NOS
hit structure
1:125942 C13H22N2O2S
hit structure
1:125943 C14H21NO4S
hit structure
1:125944 C18H34N4O5S
hit structure
1:125945 C10H8N4OS
hit structure

1
  <<    <    >    >>  

entries in data collection: 131602