Home Browse Text SearchFunctional Group SearchStructure SearchPreferences Administration

selected data collection: 1

IRIS SDF: browse content


1
  <<    <    >    >>  

1:122687 C20H32N4O7
hit structure
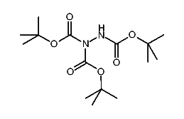
1:122688 C45H56N6O9
hit structure
1:122689 C31H50N6O11
hit structure
1:122690 C22H34N2O6
hit structure
1:122691 C10H20N2O2
hit structure
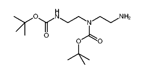
1:122692 C9H20N2O2
hit structure
1:122693 C9H20N2O2
hit structure
1:122694 C18H26N2O6
hit structure
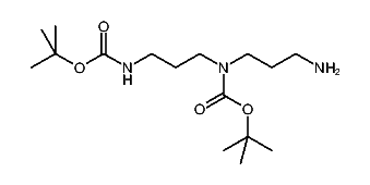
1:122695 C11H22N2O2
hit structure
1:122696 C15H28N2O6
hit structure
1:122697 C9H20N2O2
hit structure
1:122698 C8H18N2O2
hit structure
1:122699 C10H22N2O2
hit structure
1:122700 C15H32N2O4
hit structure
1:122701 C11H24N2O4
hit structure
1:122702 C7H16N2O2
hit structure
1:122703 C14H22N2O2
hit structure
1:122704 C23H26BrN2O2P
hit structure
1:122705 C9H18N2O2
hit structure
1:122706 C9H18N2O2
hit structure
1:122707 C11H22N2O2
hit structure
1:122708 C13H26N2O2
hit structure
1:122709 C14H29N3O4
hit structure
1:122710 C14H29N3O4
hit structure
1:122711 C16H33N3O4
hit structure

1
  <<    <    >    >>  

entries in data collection: 131602