Home Browse Text SearchFunctional Group SearchStructure SearchPreferences Administration

selected data collection: 1

IRIS SDF: browse content


1
  <<    <    >    >>  

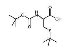
1:121887 C15H21NO4S
hit structure
1:121888 C16H23NO4S
hit structure
1:121889 C16H23NO5S
hit structure
1:121890 C12H23NO4S
hit structure
1:121891 C16H27NO6
hit structure
1:121892 C16H25N3O6
hit structure
1:121893 C11H17N3O4
hit structure
1:121894 C10H17NO5
hit structure
1:121895 C11H21NO4
hit structure
1:121896 C11H21NO4
hit structure
1:121897 C19H27ClN2O6
hit structure
1:121898 C15H26N2O6
hit structure
1:121899 C16H30N2O6
hit structure
1:121900 C19H28N2O6
hit structure
1:121901 C11H22N2O4
hit structure
1:121902 C9H17NO4
hit structure
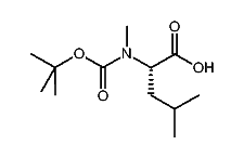
1:121903 C12H23NO4
hit structure
1:121904 C12H23NO4
hit structure
1:121905 C15H21NO4
hit structure
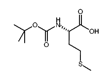
1:121906 C10H19NO4S
hit structure
1:121907 C22H27NO5
hit structure
1:121908 C11H21NO5
hit structure
1:121909 C11H21NO4
hit structure
1:121910 C14H24N2O6
hit structure
1:121911 C15H28N2O6
hit structure

1
  <<    <    >    >>  

entries in data collection: 126570