Home Browse Text SearchFunctional Group SearchStructure SearchPreferences Administration

selected data collection: 1

IRIS SDF: browse content


1
  <<    <    >    >>  

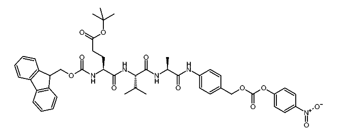
1:121712 C46H51N5O12
hit structure
1:121713 C12H14N2O
hit structure
1:121714 C9H18N2O2
hit structure
1:121715 C15H14N2O2
hit structure
1:121716 C11H26N2O4
hit structure
1:121717 C14H24N2O4
hit structure
1:121718 C11H26N2O4
hit structure
1:121719 C8H15NO4S
hit structure
1:121720 C27H29NO4S
hit structure
1:121721 C13H22N2O6
hit structure
1:121722 C24H28N2O6
hit structure
1:121723 C9H18N2O4
hit structure
1:121724 C23H26N2O6
hit structure
1:121725 C23H26N2O6
hit structure
1:121726 C10H18N2O5
hit structure
1:121727 C13H21NO6
hit structure
1:121728 C17H23NO6
hit structure
1:121729 C15H32N2O5
hit structure
1:121730 C13H26N2O2
hit structure
1:121731 C9H20N2O2
hit structure
1:121732 C10H22N2O2
hit structure
1:121733 C13H26N2O2
hit structure
1:121734 C8H18N2O2
hit structure
1:121735 C9H20N2O2
hit structure
1:121736 C11H22N2O2
hit structure

1
  <<    <    >    >>  

entries in data collection: 126570