Home Browse Text SearchFunctional Group SearchStructure SearchPreferences Administration

selected data collection: 1

IRIS SDF: browse content


1
  <<    <    >    >>  

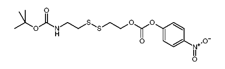
1:120839 C16H22N2O7S2
hit structure
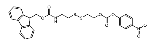
1:120840 C19H21NO3S2
hit structure
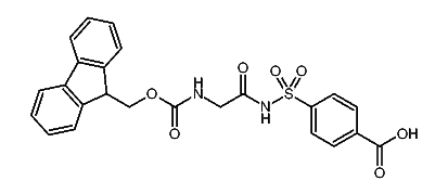
1:120841 C26H24N2O7S2
hit structure
1:120842 C19H14N2O5S2
hit structure
1:120843 C14H21NO3S2
hit structure
1:120844 C21H24N2O7S2
hit structure
1:120845 C24H23NO3S2
hit structure
1:120846 C9H11BrN2O5
hit structure
1:120847 C8H14N2O2S
hit structure
1:120848 C24H20N2O7S
hit structure
1:120849 C16H32ClN3O5
hit structure
1:120850 C9H9N3O2
hit structure
1:120851 C10H19NO5
hit structure
1:120852 C29H35ClN2O4
hit structure
1:120853 C10H22ClNO2
hit structure
1:120854 C14H30ClNO4
hit structure
1:120855 C10H20ClN3O2
hit structure
1:120856 C14H28ClN3O4
hit structure
1:120857 C16H26N2O2
hit structure
1:120858 C16H30N2O2
hit structure
1:120859 C18H34N2O2
hit structure
1:120860 C18H30N2O2
hit structure
1:120861 C29H31NO6
hit structure
1:120862 C30H29NO6
hit structure
1:120863 C28H29NO6
hit structure

1
  <<    <    >    >>  

entries in data collection: 126570