Home Browse Text SearchFunctional Group SearchStructure SearchPreferences Administration

selected data collection: 1

IRIS SDF: browse content


1
  <<    <    >    >>  

1:11760 C11H21NO4
hit structure
1:11761 C13H23NO4
hit structure
1:11762 C12H21NO5
hit structure
1:11763 C12H21NO4
hit structure
1:11764 C14H25NO4
hit structure
1:11765 C14H19NO4
hit structure
1:11766 C15H21NO4
hit structure
1:11767 C10H17NO5
hit structure
1:11768 C12H16N2O5
hit structure
1:11769 C12H23NO4
hit structure
1:11770 C12H19N3O4
hit structure
1:11771 C12H19N3O4
hit structure
1:11772 C21H29N3O5
hit structure
1:11773 C23H44N2O5
hit structure
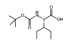
1:11774 C10H17NO4
hit structure
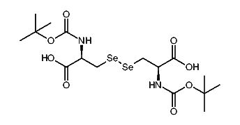
1:11775 C16H28N2O8Se2
hit structure
1:11776 C25H28N2O6
hit structure
1:11777 C13H25NO4
hit structure
1:11778 C11H21NO5
hit structure
1:11779 C12H17NO5
hit structure
1:11780 C12H17NO5
hit structure
1:11781 C13H23NO4
hit structure
1:11782 C16H23NO5Se
hit structure
1:11783 C16H20F3NO4
hit structure
1:11784 C13H25NO4
hit structure

1
  <<    <    >    >>  

entries in data collection: 56122